14 年
手机商铺
玉研公众号/正文
231 人阅读发布时间:2025-10-20 14:03
步行是动物最基础的行为之一,过程涉及肌肉、骨骼、神经以及感觉系统的整合,从而产生协调的运动。步态分析可以评估实验动物的运动功能、平衡能力以及协调性,为其神经、肌肉或骨骼功能评估提供客观可靠的数据,广泛用于帕金森、肌萎缩侧索硬化症、亨廷顿等神经退行性疾病,脊髓损伤、脑损伤等神经损伤、恢复研究,以及关节炎、异常疼痛等疼痛炎症研究中。

早在上个世纪末研究人员就采用步态分析方法评估实验动物的运功功能。经典的步态分析方法是墨迹法,在动物足底涂上墨水,分析其在纸上留下的足迹。该方法仅提供基本的步幅、足迹位置等粗略的空间信息,缺乏检测细微或早期运动缺陷的分辨率,也无法提供足底压力数据,而且需要人工测量计算,实验操作复杂。
现代步态分析系统大多利用受抑全反射原理,通过摄像头获取亮度与压力相关的足迹,再利用图像分析软件实现了足迹的全自动分析,并可提供足底压力、时间参数等。

参考文献:Brooks, Simon P, and Stephen B Dunnett. “Tests to assess motor phenotype in mice: a user's guide.” Nature reviews. Neuroscience vol. 10,7 (2009): 519-29. doi:10.1038/nrn2652
Ugo Basile 小鼠AI步态分析仪作为新一代步态分析系统,在现代步态分析系统的基础上,采用先进AI识别技术,对动物足迹的自动识别、检测、分析都更加高效、准确;同时,AI技术也赋予了软件识别动物身体、尾部姿态的功能,可获取更加丰富的、同类产品无法自动分析的身体、尾部相关运动参数,对实验动物的运动协调能力进行更全面的评估。
顶部采用红光照明,步道内采用绿色内反射光源,可通过左侧的旋钮调节光源强度,确保动物足迹清晰完整;步道采用透明侧板,下方配有45°反射镜,可从正面同时观察小鼠步行过程中足底与身体的影像,从而实现多角度分析,获取更丰富、更精准的步态特征参数;
采用高性能专业运动相机,可同时以119 fps高帧率记录4K高清影像,清晰、准确记录实验动物运动特征。相机已经预先校准完成,无需额外设置即可使用;
步道两侧配备安全盒。盒体可轻松拆卸、安装,并具有活板门,确保实验过程中动物处于自然、未应激状态,测试结果更可靠;
分析软件已经采用丰富数据集训练完成,可自动准确检测、标记小鼠爪印。可自由设置图像采集、分析设置以及分析参数,并提供预制参数模板,用户只需点击几下即可在几分钟内完成实验与分析
软件采用先进的AI技术,采用数千帧定制训练数据,可准确自动检测、标记鼠爪,区分掌部与爪部,无需人工标记或修改;
步行台配有45°反射镜,可同时拍摄足底与侧面影像,准确识别爪子位置,获得更加丰富的参数;
可提供适用于不同研究方向的近30个参数指标,除了经典的时间空间参数,还可分析实验动物身体、尾部等指标;
软件界面分为参数设置、视频采集、步态分析等面板,界面简洁直观,易上手使用。

常用参数包括步幅、摆动/站立时间、足底压力等。例如,在PD、运动功能障碍、关节炎模型中常报告步幅缩短和站立持续时间增加,单侧脊髓或周围神经损伤常报告足底压力不对称等。

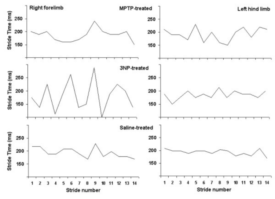
步态障碍是帕金森病(PD)和亨廷顿病(HD)的典型症状。常用的PD小鼠模型之一是通过反复给予神经毒素MPTP,导致黑质纹状体多巴胺能系统受损,产生PD症状;常用的HD小鼠模型是通过反复施用线粒体毒素3NP引起纹状体神经变性,导致HD症状。
在某研究中,研究者通过步态分析发现,PD模型小鼠右后肢的步幅更小,跨步时间变异性更大;HD模型小鼠后肢步态不协调,前肢跨步时间变异性更大。

骨关节炎(OA)是一种普遍的肌肉骨骼疾病,常通过手术、骨折、化学药物和遗传手段进行小鼠造模。
研究者通过十字韧带横切术(CLT)进行OA小鼠造模,采用足迹法步态分析评估其步态特征,发现造模小鼠步态发生改变,后足足底压力显著减小。

参考文献:Ruan, M Z C et al. “Pain, motor and gait assessment of murine osteoarthritis in a cruciate ligament transection model.” Osteoarthritis and cartilage vol. 21,9 (2013): 1355-64. doi:10.1016/j.joca.2013.06.016.
步行速度降低是动物衰老、运动功能下降的重要指标。研究者比较了不同年龄性别的小鼠的步态特征,发现小鼠的步行速度随着年龄增长显著降低,老年小鼠(120周)摆动时间、站立时间显著增加,步行频率显著降低。

参考文献:Broom, Lauren et al. “Shifts in Gait Signatures Mark the End of Lifespan in Mice, With Sex Differences in Timing.” Frontiers in aging neuroscience vol. 13 716993. 2 Aug. 2021, doi:10.3389/fnagi.2021.716993